Stanford University
What does a brain-behavior association mean?
What does a brain-behavior association mean?

What does a brain-behavior association mean?


What does a brain-behavior association mean?

What does a brain-behavior association mean?






Assuming this model is true, what kinds of neural differences could give rise to cognitive differences?
“A series of investigations in normal subjects indicate an inverse relationship between brain glucose metabolic rate and psychometric measures of intelligence. . .These studies have been interpreted as evidence for a brain efficiency model of intelligence: Intelligence is not a function of how hard the brain works but rather how efficiently it works.” (Haier et al., 1992)
“A series of investigations in normal subjects indicate an inverse relationship between brain glucose metabolic rate and psychometric measures of intelligence. . .These studies have been interpreted as evidence for a brain efficiency model of intelligence: Intelligence is not a function of how hard the brain works but rather how efficiently it works.” (Haier et al., 1992)”
Is this really an explanation?

Poldrack, 2015
Poldrack, 2015


Difference in intensity of neural activity

Difference in duration of neural activity
Changes in rate vs. duration of neural firing are indistinguishable in fMRI
Same duration, different amplitude

Same amplitude, different duration


The effects of amplitude and duration are indistinguishable in the fMRI signal
Mumford et al, 2023
Mumford et al, 2023


Conjunction across 7 tasks

Conjunction across 4 tasks
Yarkoni et al., 2009
Mumford et al, 2023



Mumford et al, 2023

Mumford et al, 2023
Without RT regressor in group model:
| t | p | |
|---|---|---|
| Age | 2.698 | 0.008 |
With RT regressor in group model:
| t | p | |
|---|---|---|
| Age | 7.163 | 0.000 |
Mumford et al, 2023

←
The standard model
←
The Grinband et al. (2008) model
←
The Mumford et al. model
The Constant Duration + RT model allows quantification of the unique contributions of time on task and condition differences
Mumford et al, 2023


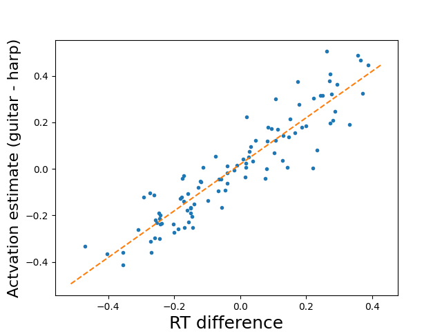
Activation for Stroop effect disappears after removing RT effect
Grinband et al., 2011 (N = 23)
Without RT modeling

Stroop
(inc - con)
With RT modeling

Without RT modeling

Stroop
(inc - con)
With RT modeling

Task switching
(TS - CS)


Without RT modeling

Stroop
(inc - con)
With RT modeling

Task switching
(TS - CS)


Stop signal
(FS - go)


Bissett et al., unpublished

Without first-level RT modeling:
| t | p | |
|---|---|---|
| Age | 2.698 | 0.008 |
With first-level RT modeling:
| t | p | |
|---|---|---|
| Age | 0.562 | 0.575 |
Mumford et al, 2023

Acknowledgments
The Poldrack Lab


Jeanette Mumford

Funding
https://poldrack.github.io/talks-BrainBehaviorAssociation/